如何使用MathType编辑器中的划线模板
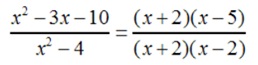
在数学中经常会出现在等式中约去相同因式的要求,并且需要在等式上模仿出约去的标记。在纸张上使用铅笔来做出约去因式的操作是相当的简单事情,但在电脑中要模仿出约去的标记却是另一种情况。本小节将演示如何在MathType中做出这种效果,我们假定使用的等式如下图所示:

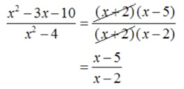
要约去相同因式,我们将使用到MathType的"约去"划线模板。
1.首先创建分式,在输入"="好后插入第二个分式模板:

2.在输入数字前,在
模板中选中划线模板,如下图所示:

3.输入划线模板,在分子中输入第一个分式,按下Tab键退出划线模板,然后输入第二个分子,如下图所示:

4.当你完成第二个分式的输入时,点击回车键换行。输入第二个等号"=",然后输入分式。为了使等式在"="处对齐,在格式菜单中选择在等号处对齐命令,最终等式效果如下图所示:

栏 目:office教程
本文地址:https://zz.feitang.co/wangzhanyunying/4252.html
您可能感兴趣的文章
- 11-262010 Office密钥过期怎么办?Office2010产品激活失败的解决方法
- 11-26office2010产品密钥有哪些?最新office2010激活密钥汇总
- 11-26office2007密钥哪里找?office2007永久密钥序列号
- 11-26Office2016怎么安装?Office2016安装激活教程
- 11-26Office2010最新激活密钥有哪些?Office2010激活密钥分享大全
- 11-26求Office2013密钥?2025最新Office2013激活密钥
- 11-26Office2013电话怎么激活?Office2013永久激活方法
- 11-26office2016打开卡顿怎么办?office2016打开缓慢的解决技巧
- 11-26Office 2010中文版怎么转换为英文版?
- 11-26office 2010激活错误代码0X8007000D如何解决?


阅读排行
- 12010 Office密钥过期怎么办?Office2010产品激活失败的解决方法
- 2office2010产品密钥有哪些?最新office2010激活密钥汇总
- 3office2007密钥哪里找?office2007永久密钥序列号
- 4Office2016怎么安装?Office2016安装激活教程
- 5Office2010最新激活密钥有哪些?Office2010激活密钥分享大全
- 6求Office2013密钥?2025最新Office2013激活密钥
- 7Office2013电话怎么激活?Office2013永久激活方法
- 8office2016打开卡顿怎么办?office2016打开缓慢的解决技巧
- 9Office 2010中文版怎么转换为英文版?
- 10office 2010激活错误代码0X8007000D如何解决?
推荐教程
- 07-012025最新office2010永久激活码免费分享,附office 2010激活工具
- 07-01怎么免费获取2025最新office2016专业增强版永久激活密钥/序列号
- 07-01office365怎么永久激活?2025.5最新office,office365序列号推荐
- 06-25office2021年最新永久有效正版激活密钥免费分享
- 06-13Office 2024激活工具,2025年Office2024激活工具及激活密钥分享
- 05-12Microsoft office2019产品激活密钥(100%永久激活)
- 07-01office2021专业增强版2021激活密钥2023密钥永久激活 万能office202
- 06-17经验分享Win11激活密钥怎么获取(win11专业版激活密钥)
- 07-01office 2021激活码/序列号推荐,office2021附激活工具
- 06-25Office2021激活密钥永久最新分享





