MathType 公式文档节约版面的格式处理技巧
含有公式的文档中,数学公式另行居中排列,有的公式较短,而在公式之前的文字往往很少,如果完全按照另行用正文距来排,不但版面不节约,并且也太松散,不够均匀美观。本教程主要讲解了数学公式在文档中节约版面的格式处理方法。
节约版面的格式处理方法主要有以下两种:
1.公式前后镶字
(1)为了节约版面,在不影响公式居中时,可把简短的说明文字与公式排在同一行内,这样就能节省一行。公式前镶字,原则上以6个字为限,接排的公式仍应依照版心左右居中排列,公式与前面的文字之间至少空2个字。其格式如下:

(公式前的"□"代表所向前的字)
在少数情况下,也有在公式后面镶字,或在同一行中两个公式之间镶字"或、及、和"等字的。如:

如在同一行中两式之间镶字,则在公式与中文字之间空1个字;式与式之间有标点"、"或","或";"时,则式与标点之间空1个字;特殊情况可伸缩。
(2)如公式的后面有序号,则公式前不能镶字。如:

这主要是因为入如果前后镶字,形成包围,看起来就不能条理分明了。
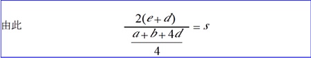
(3)如果是在叠式前镶字,文字应该排在与主线同一条的水平线上。如:

"由此"两字应该排在"="、也就是主线的同一水平线上,不应该居中和"a+b+4d"放在同一行上。
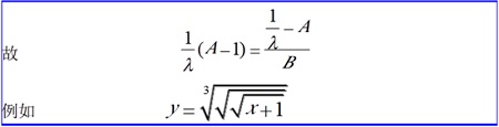
但是对于多重根式及分子是叠式的繁分式,如把说明文字镶排在主线行上,版式反而不美观。如:

这时,说明文字就宜排成另行独立。如:

(4)如果公式前用数学符号"∵"、"∴"来替代"因为"、"所以"汉字时,原则上跟公式居中排,符号与公式之间空1个字。如:

2.调节行距(行距缩借)
调节行距就是采用在公式的上下行缩小行距的方法节约版面,并使版面显得均匀美观。
(1)缩小行距:在公式前的文字如果字数不多,而公式较短,按正文行间排法,空挡必然较大,可以缩小公式和文字之间的行距。

因此可排成:

缩小行距的方法,对节约版面效果虽不及公式前镶字的方法那样大,但可是版面均匀美观。
(2)当文字的上下行两行都有叠式,而这些叠式的位置又是左右开叉时,可缩借上行与下行空位,缩小行距,在排版上称为"咬紧",这样,不但节约版面,而且会使行距均匀,版面美观。如:

可排成:

上面的排法就是缩小行距后咬紧的样子。但是,如果上下行的叠式非常靠近,则缩小行距后,叠式会变得过分靠拢,反而不美观了。这就可以空足行间距离或适当少空一些行间距离。
(3)嵌在第一行或末一行的文字中的叠式,如果式子很短,当在第一行时,而且偏左一边,不予上面的书眉或页码重叠,就可以缩小书眉与第一行间的行距,是叠式的分子部分向上伸半个字。当在末一行是,可以缩小末一行与地脚键的行距,使叠式的分母部分向下面伸下半个字。这样做法,可以不影响版面整个行数,不但节约版面,而且可以避免版面的松散。
栏 目:office教程
本文地址:https://zz.feitang.co/wangzhanyunying/4251.html
您可能感兴趣的文章
- 11-262010 Office密钥过期怎么办?Office2010产品激活失败的解决方法
- 11-26office2010产品密钥有哪些?最新office2010激活密钥汇总
- 11-26office2007密钥哪里找?office2007永久密钥序列号
- 11-26Office2016怎么安装?Office2016安装激活教程
- 11-26Office2010最新激活密钥有哪些?Office2010激活密钥分享大全
- 11-26求Office2013密钥?2025最新Office2013激活密钥
- 11-26Office2013电话怎么激活?Office2013永久激活方法
- 11-26office2016打开卡顿怎么办?office2016打开缓慢的解决技巧
- 11-26Office 2010中文版怎么转换为英文版?
- 11-26office 2010激活错误代码0X8007000D如何解决?


阅读排行
- 12010 Office密钥过期怎么办?Office2010产品激活失败的解决方法
- 2office2010产品密钥有哪些?最新office2010激活密钥汇总
- 3office2007密钥哪里找?office2007永久密钥序列号
- 4Office2016怎么安装?Office2016安装激活教程
- 5Office2010最新激活密钥有哪些?Office2010激活密钥分享大全
- 6求Office2013密钥?2025最新Office2013激活密钥
- 7Office2013电话怎么激活?Office2013永久激活方法
- 8office2016打开卡顿怎么办?office2016打开缓慢的解决技巧
- 9Office 2010中文版怎么转换为英文版?
- 10office 2010激活错误代码0X8007000D如何解决?
推荐教程
- 07-012025最新office2010永久激活码免费分享,附office 2010激活工具
- 07-01怎么免费获取2025最新office2016专业增强版永久激活密钥/序列号
- 07-01office365怎么永久激活?2025.5最新office,office365序列号推荐
- 06-25office2021年最新永久有效正版激活密钥免费分享
- 06-13Office 2024激活工具,2025年Office2024激活工具及激活密钥分享
- 05-12Microsoft office2019产品激活密钥(100%永久激活)
- 07-01office2021专业增强版2021激活密钥2023密钥永久激活 万能office202
- 06-17经验分享Win11激活密钥怎么获取(win11专业版激活密钥)
- 07-01office 2021激活码/序列号推荐,office2021附激活工具
- 06-25Office2021激活密钥永久最新分享





