Word中怎么设置等式序号
Word中怎么设置等式序号
1)。附录A中的公式,用户(A-1)、(A-2)等。字数较少的书,也可按全书统一编连续号(附录除外)。本教程从以下几个方面讲解了如何给MathType编辑的等式设置序号:
1.序号一般排在数式后边齐行尾(顶版口),数式与序号之间比较连点。序号要与数式主体对齐,排在一条水平线上。表明属于主体部分的符号有:“=、≤、≥、<、>、≈、≠等等。如:

2.遇到数式过长,到行末容纳不下序号时,可将序号移动到下行的行末。例如:

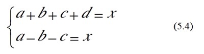
3.如果几个数式共用一个序号,在数式的前面(或后面)要排一个括号“{()}”,序号要对准括号正中的中间。如:

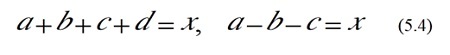
4.如果排到版面的末行时只有一行位置,可将上式的两行式子中间加逗号及1个字空,排成一行,取消括号。如:

上一篇:MathType和Word 2007不兼容问题怎么解决
栏 目:office教程
下一篇:安装MathType后导致Word无法复制粘贴怎么办
本文标题:Word中怎么设置等式序号
本文地址:https://zz.feitang.co/wangzhanyunying/5879.html
您可能感兴趣的文章
- 03-24word里代码对齐快捷键是什么意思
- 03-24word在兼容模式是什么意思
- 03-24word文档字为什么不能前移
- 03-24word文档为什么不能接受修订
- 03-24word中方正小标宋什么意思
- 03-24word为什么会保存文件错误报告
- 03-24cad图为什么插入不到word中,cad图怎么插到word中
- 03-24word表格内为什么不能另起一行,word表格内怎么另起一行
- 03-24为什么word里插不进去页码,word怎么插页码?
- 03-24为什么wps word页面绿色变不回来


阅读排行
推荐教程
- 07-012025最新office2010永久激活码免费分享,附office 2010激活工具
- 07-01怎么免费获取2025最新office2016专业增强版永久激活密钥/序列号
- 07-01office365怎么永久激活?2025.5最新office,office365序列号推荐
- 06-25office2021年最新永久有效正版激活密钥免费分享
- 06-13Office 2024激活工具,2025年Office2024激活工具及激活密钥分享
- 05-12Microsoft office2019产品激活密钥(100%永久激活)
- 07-01office2021专业增强版2021激活密钥2023密钥永久激活 万能office202
- 06-17经验分享Win11激活密钥怎么获取(win11专业版激活密钥)
- 07-01office 2021激活码/序列号推荐,office2021附激活工具
- 06-25Office2021激活密钥永久最新分享




