MathType如何编辑薛定谔波动方程
在物理学中有很多经典的公式,而MathType强大的公式编辑能力能够很好的输入这些公式,以薛定谔波动方程为例,下面就看看MathType如何将它编辑出来的。
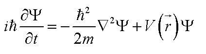
薛定谔波动方程示例
具体步骤如下:
1.打开MathType编辑窗口后,利用键盘输入i,在"杂项符号"模板中选择"普朗克常量"输入。
在"杂项符号"模板中选择"普朗克常量"输入
2.利用分数与根式模板中的标准分式模板,点击输入偏导符号,分子的希腊字母使用"希腊字符"输入。
分子的希腊字母使用"希腊字符"输入
3.继续按顺序输入,普朗克常量按步骤1的方法输入后使用上标模板输入平方,使用"杂项符号"模板中的nabla输入,平方继续使用上标模板输入。
使用"杂项符号"模板中的nabla输入
4.继续用键盘输入,相同的符号采用相同的输入方法,括号使用"分隔符"模板中的圆括号模板,用键盘输入r后选中,使用顶线与底线模板中的右箭头模板。
用括号模板输入后使用顶线与底线模板输入向量
5.继续输入,关闭保存即可,薛定谔波动方程就输入完毕了。
用括号模板输入后使用顶线与底线模板输入向量
以上就是利用MathType编辑薛定谔波动方程的过程,这个过程中利用了不同MathType中的很多模板进行组合输入,MathType希腊字母的输入在不熟悉MathType模板的情况下需要仔细地找
MathType如何编辑薛定谔波动方程的下载地址:
上一篇:手把手教你利用MathType输入麦克斯维方程组微分形式
栏 目:office教程
本文标题:MathType如何编辑薛定谔波动方程
本文地址:https://zz.feitang.co/wangzhanyunying/4331.html
您可能感兴趣的文章
- 11-262010 Office密钥过期怎么办?Office2010产品激活失败的解决方法
- 11-26office2010产品密钥有哪些?最新office2010激活密钥汇总
- 11-26office2007密钥哪里找?office2007永久密钥序列号
- 11-26Office2016怎么安装?Office2016安装激活教程
- 11-26Office2010最新激活密钥有哪些?Office2010激活密钥分享大全
- 11-26求Office2013密钥?2025最新Office2013激活密钥
- 11-26Office2013电话怎么激活?Office2013永久激活方法
- 11-26office2016打开卡顿怎么办?office2016打开缓慢的解决技巧
- 11-26Office 2010中文版怎么转换为英文版?
- 11-26office 2010激活错误代码0X8007000D如何解决?


阅读排行
- 12010 Office密钥过期怎么办?Office2010产品激活失败的解决方法
- 2office2010产品密钥有哪些?最新office2010激活密钥汇总
- 3office2007密钥哪里找?office2007永久密钥序列号
- 4Office2016怎么安装?Office2016安装激活教程
- 5Office2010最新激活密钥有哪些?Office2010激活密钥分享大全
- 6求Office2013密钥?2025最新Office2013激活密钥
- 7Office2013电话怎么激活?Office2013永久激活方法
- 8office2016打开卡顿怎么办?office2016打开缓慢的解决技巧
- 9Office 2010中文版怎么转换为英文版?
- 10office 2010激活错误代码0X8007000D如何解决?
推荐教程
- 07-012025最新office2010永久激活码免费分享,附office 2010激活工具
- 07-01怎么免费获取2025最新office2016专业增强版永久激活密钥/序列号
- 07-01office365怎么永久激活?2025.5最新office,office365序列号推荐
- 06-25office2021年最新永久有效正版激活密钥免费分享
- 06-13Office 2024激活工具,2025年Office2024激活工具及激活密钥分享
- 05-12Microsoft office2019产品激活密钥(100%永久激活)
- 07-01office2021专业增强版2021激活密钥2023密钥永久激活 万能office202
- 06-17经验分享Win11激活密钥怎么获取(win11专业版激活密钥)
- 07-01office 2021激活码/序列号推荐,office2021附激活工具
- 06-25Office2021激活密钥永久最新分享





