如何使MathType大括号公式对齐
我们可以使用大括号模板,并在大括号下编辑公式、矩阵函数,此时会对对齐方式有要求,本教程以给出的公式为例讲解使MathType大括号公式对齐的方法。
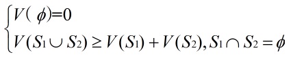
要求:使如下图所示的两个公式上下对齐
含有大括号的公式示例
首先编辑公式,具体步骤如下:
1.在MathType中编辑大括号。
选择半边大括号模板
2.选择矩阵模板中的第一行第二个模板。
选择一列两行的矩阵模板
3.在大括号内的矩阵中编辑公式。
用矩阵模板编辑的公式示例
温馨提示:如果对公式对齐方式不满意,可以通过改变矩阵的对齐格式来决定公式对齐方式,具体步骤如下:
1.首先先将光标定位到上面第一个公式的V前,选择格式菜单下的矩阵项,在矩阵子菜单下选择 "更改矩阵"项。
在矩阵菜单下选择更改矩阵项
2.在弹出的矩阵对话框中,在"列对齐"方式下选择"左侧",然后点击确定按钮。
选择列对齐方式为左侧
3.此时公式就以左对齐的格式显示,我们还可以在矩阵对话框中选择其它的对齐方式,操作方法类似。
左侧列对齐的公式示例
您可能感兴趣的文章
- 11-262010 Office密钥过期怎么办?Office2010产品激活失败的解决方法
- 11-26office2010产品密钥有哪些?最新office2010激活密钥汇总
- 11-26office2007密钥哪里找?office2007永久密钥序列号
- 11-26Office2016怎么安装?Office2016安装激活教程
- 11-26Office2010最新激活密钥有哪些?Office2010激活密钥分享大全
- 11-26求Office2013密钥?2025最新Office2013激活密钥
- 11-26Office2013电话怎么激活?Office2013永久激活方法
- 11-26office2016打开卡顿怎么办?office2016打开缓慢的解决技巧
- 11-26Office 2010中文版怎么转换为英文版?
- 11-26office 2010激活错误代码0X8007000D如何解决?


阅读排行
- 12010 Office密钥过期怎么办?Office2010产品激活失败的解决方法
- 2office2010产品密钥有哪些?最新office2010激活密钥汇总
- 3office2007密钥哪里找?office2007永久密钥序列号
- 4Office2016怎么安装?Office2016安装激活教程
- 5Office2010最新激活密钥有哪些?Office2010激活密钥分享大全
- 6求Office2013密钥?2025最新Office2013激活密钥
- 7Office2013电话怎么激活?Office2013永久激活方法
- 8office2016打开卡顿怎么办?office2016打开缓慢的解决技巧
- 9Office 2010中文版怎么转换为英文版?
- 10office 2010激活错误代码0X8007000D如何解决?
推荐教程
- 07-012025最新office2010永久激活码免费分享,附office 2010激活工具
- 07-01怎么免费获取2025最新office2016专业增强版永久激活密钥/序列号
- 07-01office365怎么永久激活?2025.5最新office,office365序列号推荐
- 06-25office2021年最新永久有效正版激活密钥免费分享
- 06-13Office 2024激活工具,2025年Office2024激活工具及激活密钥分享
- 05-12Microsoft office2019产品激活密钥(100%永久激活)
- 07-01office2021专业增强版2021激活密钥2023密钥永久激活 万能office202
- 06-17经验分享Win11激活密钥怎么获取(win11专业版激活密钥)
- 07-01office 2021激活码/序列号推荐,office2021附激活工具
- 06-25Office2021激活密钥永久最新分享





