MathType 叠式中分式的转行拆分技巧
分式在原则上不作分拆转行,但限于版面尺寸而必须转行时,在MathType编辑器中输入带有分式的叠式时,对分式的转行拆分可采取以下几种方法:
1.分子项数较多、较长的转行分拆。如下图的分式:

可以分拆转行成:

也可采用"同分母"的形式进行分拆转行:

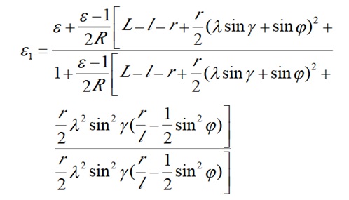
2.分母项数较多、较长的转行分拆,如下图的分式:

也可改成下列"除法"形式进行转行分拆:

或者改成"负指数"形式进行分拆转行:

改为"负指数"形式后,分子"1"可以不排,如果分子为其他数字,则分子数字仍排在"{"号的前面,并在分子数后面加上乘号。
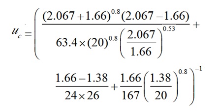
3.分子和分母的项数都是比较多、较长的转行分拆,如如下图的分式:

上式也可采用"除法"或"负指数"的形式进行分拆转行。
采用"除法"形式可将分子及分母分别用大括号包括,再在分子与分母之间加上"/"(除号)。
采用"负指数"形式基本上是在除法形式的基础上,把"/"改成"×"号,并在分母后边的"}"之后加上角-1(负指数)。
栏 目:office教程
本文地址:https://zz.feitang.co/wangzhanyunying/4265.html
您可能感兴趣的文章
- 11-262010 Office密钥过期怎么办?Office2010产品激活失败的解决方法
- 11-26office2010产品密钥有哪些?最新office2010激活密钥汇总
- 11-26office2007密钥哪里找?office2007永久密钥序列号
- 11-26Office2016怎么安装?Office2016安装激活教程
- 11-26Office2010最新激活密钥有哪些?Office2010激活密钥分享大全
- 11-26求Office2013密钥?2025最新Office2013激活密钥
- 11-26Office2013电话怎么激活?Office2013永久激活方法
- 11-26office2016打开卡顿怎么办?office2016打开缓慢的解决技巧
- 11-26Office 2010中文版怎么转换为英文版?
- 11-26office 2010激活错误代码0X8007000D如何解决?


阅读排行
- 12010 Office密钥过期怎么办?Office2010产品激活失败的解决方法
- 2office2010产品密钥有哪些?最新office2010激活密钥汇总
- 3office2007密钥哪里找?office2007永久密钥序列号
- 4Office2016怎么安装?Office2016安装激活教程
- 5Office2010最新激活密钥有哪些?Office2010激活密钥分享大全
- 6求Office2013密钥?2025最新Office2013激活密钥
- 7Office2013电话怎么激活?Office2013永久激活方法
- 8office2016打开卡顿怎么办?office2016打开缓慢的解决技巧
- 9Office 2010中文版怎么转换为英文版?
- 10office 2010激活错误代码0X8007000D如何解决?
推荐教程
- 07-012025最新office2010永久激活码免费分享,附office 2010激活工具
- 07-01怎么免费获取2025最新office2016专业增强版永久激活密钥/序列号
- 07-01office365怎么永久激活?2025.5最新office,office365序列号推荐
- 06-25office2021年最新永久有效正版激活密钥免费分享
- 06-13Office 2024激活工具,2025年Office2024激活工具及激活密钥分享
- 05-12Microsoft office2019产品激活密钥(100%永久激活)
- 07-01office2021专业增强版2021激活密钥2023密钥永久激活 万能office202
- 06-17经验分享Win11激活密钥怎么获取(win11专业版激活密钥)
- 07-01office 2021激活码/序列号推荐,office2021附激活工具
- 06-25Office2021激活密钥永久最新分享





