MathType 单行数式的怎么转行分拆呢?
超过3/4版心的较长数式,可以采取转行分拆。当一个表达式或方程式需要断开,用两行或多行来表示时,最好在紧靠其中记号=、+等处断开,用在下一行开头,不重复这一记号。等号"="可以放在转行的开头,数式中两式互乘时,有时不加乘点,但在转行处必须加上。转行分拆主要有宝塔式和阶梯式两种。
宝塔式排法
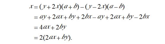
单层的长式,转行后成为2行时,适用宝塔式,即上行长、下行处短,上下均左右居中排。如:

阶梯式的排法
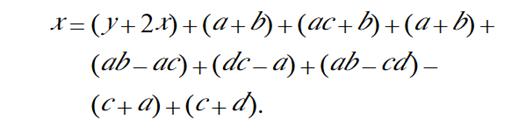
如果一个单层长式,转行后成两行时,上行短、下行长,或者是两行长短接近,可排成阶梯形,但须使整个长式以上行的行首至下行的行尾居版心左右的中间。如:

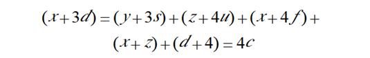
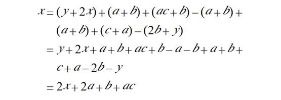
凡是一个长式要多次转行时,式中有"="的,可在"="处转行,上下行首"="对齐,但要保持整个算式居版心左右中间。如:

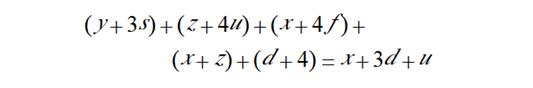
若无"=",在"+"、"-"处转行,转行行首要缩进"="号后面一格。如:

如果既有"="号转行,又有"+"号转行时,仍按上面转行的规则,转行的"="与"="对齐;转行行首对齐,并缩进"="号后面一格。如:

栏 目:office教程
本文地址:https://zz.feitang.co/wangzhanyunying/4260.html
您可能感兴趣的文章
- 11-262010 Office密钥过期怎么办?Office2010产品激活失败的解决方法
- 11-26office2010产品密钥有哪些?最新office2010激活密钥汇总
- 11-26office2007密钥哪里找?office2007永久密钥序列号
- 11-26Office2016怎么安装?Office2016安装激活教程
- 11-26Office2010最新激活密钥有哪些?Office2010激活密钥分享大全
- 11-26求Office2013密钥?2025最新Office2013激活密钥
- 11-26Office2013电话怎么激活?Office2013永久激活方法
- 11-26office2016打开卡顿怎么办?office2016打开缓慢的解决技巧
- 11-26Office 2010中文版怎么转换为英文版?
- 11-26office 2010激活错误代码0X8007000D如何解决?


阅读排行
- 12010 Office密钥过期怎么办?Office2010产品激活失败的解决方法
- 2office2010产品密钥有哪些?最新office2010激活密钥汇总
- 3office2007密钥哪里找?office2007永久密钥序列号
- 4Office2016怎么安装?Office2016安装激活教程
- 5Office2010最新激活密钥有哪些?Office2010激活密钥分享大全
- 6求Office2013密钥?2025最新Office2013激活密钥
- 7Office2013电话怎么激活?Office2013永久激活方法
- 8office2016打开卡顿怎么办?office2016打开缓慢的解决技巧
- 9Office 2010中文版怎么转换为英文版?
- 10office 2010激活错误代码0X8007000D如何解决?
推荐教程
- 07-012025最新office2010永久激活码免费分享,附office 2010激活工具
- 07-01怎么免费获取2025最新office2016专业增强版永久激活密钥/序列号
- 07-01office365怎么永久激活?2025.5最新office,office365序列号推荐
- 06-25office2021年最新永久有效正版激活密钥免费分享
- 06-13Office 2024激活工具,2025年Office2024激活工具及激活密钥分享
- 05-12Microsoft office2019产品激活密钥(100%永久激活)
- 07-01office2021专业增强版2021激活密钥2023密钥永久激活 万能office202
- 06-17经验分享Win11激活密钥怎么获取(win11专业版激活密钥)
- 07-01office 2021激活码/序列号推荐,office2021附激活工具
- 06-25Office2021激活密钥永久最新分享





