和你一起扒一扒 MathType 复杂单行数式的排列规则
使用MathType数学公式编辑器软件编辑公式时,需要注意的一个问题是排版。当一个单行数式里面集聚了总和号、极限、最大值、连乘号等时,排版问题就多了起来,本文将带你一起扒一扒复杂单行数式的排列规则。

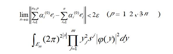
极限"lim"用正体小写英文字母,总和"∑"和连乘号"∏"用正体大写希腊字母。所有总和号、极限、连乘号、最大值、最小值等,t它们的上下限应该在符号的居中位置,各个符号的上下限之间严格分清,与右面或左面的文字隔开,不得上下交叉,混在一起。如:

又如:

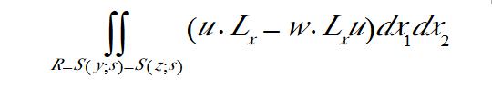
不可能排成:

以上的单行数式混合了总和号、极限、连乘号、最大值、最小值等元素,看似比较复杂,其实掌握起来并不难。
您可能感兴趣的文章
- 11-262010 Office密钥过期怎么办?Office2010产品激活失败的解决方法
- 11-26office2010产品密钥有哪些?最新office2010激活密钥汇总
- 11-26office2007密钥哪里找?office2007永久密钥序列号
- 11-26Office2016怎么安装?Office2016安装激活教程
- 11-26Office2010最新激活密钥有哪些?Office2010激活密钥分享大全
- 11-26求Office2013密钥?2025最新Office2013激活密钥
- 11-26Office2013电话怎么激活?Office2013永久激活方法
- 11-26office2016打开卡顿怎么办?office2016打开缓慢的解决技巧
- 11-26Office 2010中文版怎么转换为英文版?
- 11-26office 2010激活错误代码0X8007000D如何解决?


阅读排行
- 12010 Office密钥过期怎么办?Office2010产品激活失败的解决方法
- 2office2010产品密钥有哪些?最新office2010激活密钥汇总
- 3office2007密钥哪里找?office2007永久密钥序列号
- 4Office2016怎么安装?Office2016安装激活教程
- 5Office2010最新激活密钥有哪些?Office2010激活密钥分享大全
- 6求Office2013密钥?2025最新Office2013激活密钥
- 7Office2013电话怎么激活?Office2013永久激活方法
- 8office2016打开卡顿怎么办?office2016打开缓慢的解决技巧
- 9Office 2010中文版怎么转换为英文版?
- 10office 2010激活错误代码0X8007000D如何解决?
推荐教程
- 07-012025最新office2010永久激活码免费分享,附office 2010激活工具
- 07-01怎么免费获取2025最新office2016专业增强版永久激活密钥/序列号
- 07-01office365怎么永久激活?2025.5最新office,office365序列号推荐
- 06-25office2021年最新永久有效正版激活密钥免费分享
- 06-13Office 2024激活工具,2025年Office2024激活工具及激活密钥分享
- 05-12Microsoft office2019产品激活密钥(100%永久激活)
- 07-01office2021专业增强版2021激活密钥2023密钥永久激活 万能office202
- 06-17经验分享Win11激活密钥怎么获取(win11专业版激活密钥)
- 07-01office 2021激活码/序列号推荐,office2021附激活工具
- 06-25Office2021激活密钥永久最新分享





