为什么MathType大括号两边不一样大
MathType由于包含有很多数学符号和模板,成为众多理工科人士在文档中编写公式的常用工具。借助于它所包含的符号与模板,能够编辑出几乎所有我们常用的公式与符号。但是在文档中用MathType编写时,也会出现很多问题,尤其是当用户对它不是很熟悉时,比如MathType大括号的问题,有些人不知道该怎样输入大括号,而有的则发现MathType大括号大小不一致,这样又该怎样解决呢?
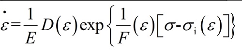
MathType大括号大小不一致示例:
出现这个问题的原因是简单,只是因为输入公式时采用了不同的模板,或者说是对于同一个大括号符号采用不同的输入方法。
解决方法如下:
1.打开MathType公式编辑器,进入到编辑界面,进行公式编辑。

打开MathType后进行相应的公式编辑
2.如果要完成如上图所示的两边都带有大括号符号的公式,则将光标放在要插入大括号的地方,在MathType工具栏模板里面选择"分隔符"模板——"大括号"模板,注意要使用的是两边都具有括号这个模板,而不是单一的"左边大括号"或者"右边大括号"这个模板。

在分隔符模板中选择两边都有大括号的模板
3.在输入大括号后,在括号中间的虚框中进行相应的输入就可以了。这个时候你就会发现两边的大括号是一样大的了。

在大括号的虚框中编辑公式
而出现上面那种在大括号不一样大小的问题,是因为在编辑大括号时,使用的是"左边大括号"模板,而输入右边的在括号时则直接使用的是键盘上的大括号,这样就导致了大小一不一样的情况出现。事实上同个符号有几中一同的输入方法,但是不同的输入方法符号大小会有所不一样,在使用时需要注意。
以上内容向大家介绍了MathType大括号大小不一致的问题,最本质的问题还是MathType模板没有使用正确而导致了这个问题的出现。从中也可以看出同一个数学符号,用不同的方法编辑出来是有一些差异的,一般来说用键盘直接输入的符号比使用MathType模板中的符号要小一点,并且有一个弊端就是用键盘输入的括号不能随括号内容自动调整大小,而模板中的符号是可以的
您可能感兴趣的文章
- 11-262010 Office密钥过期怎么办?Office2010产品激活失败的解决方法
- 11-26office2010产品密钥有哪些?最新office2010激活密钥汇总
- 11-26office2007密钥哪里找?office2007永久密钥序列号
- 11-26Office2016怎么安装?Office2016安装激活教程
- 11-26Office2010最新激活密钥有哪些?Office2010激活密钥分享大全
- 11-26求Office2013密钥?2025最新Office2013激活密钥
- 11-26Office2013电话怎么激活?Office2013永久激活方法
- 11-26office2016打开卡顿怎么办?office2016打开缓慢的解决技巧
- 11-26Office 2010中文版怎么转换为英文版?
- 11-26office 2010激活错误代码0X8007000D如何解决?


阅读排行
- 12010 Office密钥过期怎么办?Office2010产品激活失败的解决方法
- 2office2010产品密钥有哪些?最新office2010激活密钥汇总
- 3office2007密钥哪里找?office2007永久密钥序列号
- 4Office2016怎么安装?Office2016安装激活教程
- 5Office2010最新激活密钥有哪些?Office2010激活密钥分享大全
- 6求Office2013密钥?2025最新Office2013激活密钥
- 7Office2013电话怎么激活?Office2013永久激活方法
- 8office2016打开卡顿怎么办?office2016打开缓慢的解决技巧
- 9Office 2010中文版怎么转换为英文版?
- 10office 2010激活错误代码0X8007000D如何解决?
推荐教程
- 07-012025最新office2010永久激活码免费分享,附office 2010激活工具
- 07-01怎么免费获取2025最新office2016专业增强版永久激活密钥/序列号
- 07-01office365怎么永久激活?2025.5最新office,office365序列号推荐
- 06-25office2021年最新永久有效正版激活密钥免费分享
- 06-13Office 2024激活工具,2025年Office2024激活工具及激活密钥分享
- 05-12Microsoft office2019产品激活密钥(100%永久激活)
- 07-01office2021专业增强版2021激活密钥2023密钥永久激活 万能office202
- 06-17经验分享Win11激活密钥怎么获取(win11专业版激活密钥)
- 07-01office 2021激活码/序列号推荐,office2021附激活工具
- 06-25Office2021激活密钥永久最新分享





