MathType 如何对齐公式
作为强大的公式编辑器,MathType为我们的学习、工作带来了极大的便利。比如在写论文时,有了它,就可以轻松就把论文里的公式码完;老师在编写试卷时,利用它,可以快速编写出一份试卷。那么在编写公式时,也不是没有要求的,一般都会有个标准,比如要让几行公式按照一定的顺序对齐,下面就通过举例给大家介绍MathType中对齐公式的技巧。
如下图所示,使用MathType软件中的两行一列矩阵模编版写的公式,不能左对齐,有木有对齐的方法?
在MathType中编辑的大括号公式示例
具体解决方法如下:
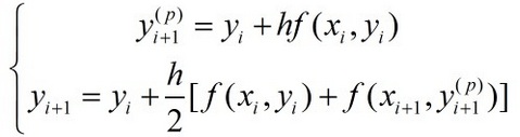
步骤一 打开MathType软件,借助其中的公式模板进行编辑,编写的公式如下图所示。编写过程中会用到左半边的大括号模板、上下角标模板、分数模板和中括号模板等,编写过程中要按部就班来,跳过一个模板就会导致编写有误。
在MathType中编写的公式示例
步骤二 因为该公式是借助矩阵模板进行编写的,所以可以借助调整矩阵对齐方式来进行调整。用鼠标选中两行公式,此时公式呈蓝色高亮显示,单击上方菜单栏"格式"菜单,在其下拉选项选择"矩阵"——"更改矩阵"选项,如下图所示。
在格式菜单下选择更改矩阵示例
步骤三 执行以上命令后,会打开矩阵对话框,如下图所示,在列对齐方式中选择"左侧",然后点击确定。
在矩阵对话框修改列对其方式
步骤四 执行以上操作后,大括号公式就会以左侧为标准进行对齐,最终效果如下图所示。
修改后的公式左对齐示例
以上就是给大家介绍的在MathType中编辑公式且使公式按一定方式对齐的方法,像大括号公式都是利用矩阵模板输入的,其实就是改变矩阵对其方式,学了以上内容,大家已经掌握了方法。
您可能感兴趣的文章
- 11-262010 Office密钥过期怎么办?Office2010产品激活失败的解决方法
- 11-26office2010产品密钥有哪些?最新office2010激活密钥汇总
- 11-26office2007密钥哪里找?office2007永久密钥序列号
- 11-26Office2016怎么安装?Office2016安装激活教程
- 11-26Office2010最新激活密钥有哪些?Office2010激活密钥分享大全
- 11-26求Office2013密钥?2025最新Office2013激活密钥
- 11-26Office2013电话怎么激活?Office2013永久激活方法
- 11-26office2016打开卡顿怎么办?office2016打开缓慢的解决技巧
- 11-26Office 2010中文版怎么转换为英文版?
- 11-26office 2010激活错误代码0X8007000D如何解决?


阅读排行
- 12010 Office密钥过期怎么办?Office2010产品激活失败的解决方法
- 2office2010产品密钥有哪些?最新office2010激活密钥汇总
- 3office2007密钥哪里找?office2007永久密钥序列号
- 4Office2016怎么安装?Office2016安装激活教程
- 5Office2010最新激活密钥有哪些?Office2010激活密钥分享大全
- 6求Office2013密钥?2025最新Office2013激活密钥
- 7Office2013电话怎么激活?Office2013永久激活方法
- 8office2016打开卡顿怎么办?office2016打开缓慢的解决技巧
- 9Office 2010中文版怎么转换为英文版?
- 10office 2010激活错误代码0X8007000D如何解决?
推荐教程
- 07-012025最新office2010永久激活码免费分享,附office 2010激活工具
- 07-01怎么免费获取2025最新office2016专业增强版永久激活密钥/序列号
- 07-01office365怎么永久激活?2025.5最新office,office365序列号推荐
- 06-25office2021年最新永久有效正版激活密钥免费分享
- 06-13Office 2024激活工具,2025年Office2024激活工具及激活密钥分享
- 05-12Microsoft office2019产品激活密钥(100%永久激活)
- 07-01office2021专业增强版2021激活密钥2023密钥永久激活 万能office202
- 06-17经验分享Win11激活密钥怎么获取(win11专业版激活密钥)
- 07-01office 2021激活码/序列号推荐,office2021附激活工具
- 06-25Office2021激活密钥永久最新分享





